Решение системы линейных уравнений с помощью обратной матрицы
Матрицей системы линейных уравнений называется таблица, составленная из коэффициентов при переменных. Так, для системы вида:

матрицей A является:
Столбцом свободных коэффициентов будем называть
а столбцом переменных —
Тогда систему уравнений можно переписать в виде:
Поясним, как происходит умножение матрицы на столбец. В матрице A есть строки: (а₁₁, а₁₂) и (а₂₁, а₂₂) а также столбцы (а₁₁, а₂₁) и (а₁₂, а₂₂).
При умножении матрицы на столбец X получается столбец, а само умножение происходит по следующему правилу:

Для нахождения обратной матрицы, которая обозначается как А⁻¹ , нам потребуется умение находить определитель матрицы, что подробно описано в разделе «Решение системы линейных уравнений по формулам Крамера», и умение находить транспонированную матрицу T. Для того чтобы записать матрицу, транспонированную к данной, нужно лишь поменять столбцы и строки местами. Например, для матрицы A транспонированной будет матрица:
Рассмотрим алгоритм поиска обратной матрицы:
1) вычислить определитель матрицы A:

2) записать матрицу миноров M. Для этого нужно просто переставить числа в матрице A следующим образом:

3) записать матрицу алгебраических дополнений А ͙. Для этого необходимо лишь поменять знаки коэффициентов а₁₂ и а₂₁ в матрице миноров M, в результате чего получим:

записать матрицу, транспонированную к матрице алгебраических дополнений:

найти обратную матрицу А⁻¹, разделив каждый элемент матрицы Аᵀ ͙ на значение определителя матрицы A, то есть
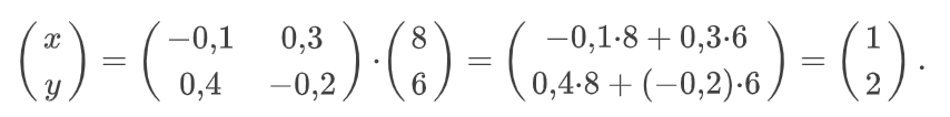
Для нахождения неизвестных нужно полученную обратную матрицу А⁻¹ умножить на столбец свободных коэффициентов:

Поясним всё на примере решения системы линейных уравнений с двумя переменными:
столбец свободных коэффициентов:
Следуя алгоритму решения СЛАУ, найдём обратную матрицу А⁻¹:
1) определитель матрицы A равен
2) матрица миноров:
3) матрица алгебраических дополнений:
4) матрица, транспонированная к матрице алгебраических дополнений:
5) обратная матрица:

Теперь умножим найденную обратную матрицу на столбец свободных коэффициентов:

Пара чисел (1;2) является решением данной системы уравнений.
Решение системы линейных уравнений методом подстановки («школьный метод»)
Метод подстановки знаком из курса школьной математики, его изучают в 7 классе. Это самый лёгкий способ решения систем линейных уравнений. Его алгоритм достаточно прост и заключается в следующем:
- одна переменная из одного линейного уравнения выражается через другую переменную;
 - выраженная переменная подставляется в другое уравнение системы;
 - полученное уравнение, содержащее только одну переменную, решается относительно этой переменной;
 - значение переменной, полученное в пункте 3, подставляется в выражение для другой (первой) переменной (см. пункт 1).
 
Для примера применим данный метод решения к следующей системе уравнений:
Согласно первому пункту алгоритма решения СЛАУ нужно выразить одну переменную через другую. В данном случае удобно из второго уравнения системы выразить переменную y через переменную x:
Далее подставим переменную y, выраженную через x, в первое уравнение системы. Получим:

Тогда можно записать систему уравнений, равносильную первой:

Раскроем скобки и приведём первое уравнение системы к следующему виду:
от куда
Теперь найдём значение y, подставив значение переменной x в выражение для второй переменной:
Применив данный метод к рассматриваемой системе линейных уравнений, мы нашли пару чисел (7;3), являющуюся её решением.
Изучайте математику вместе с преподавателями домашней онлайн-школы «Фоксфорда». Выберите класс и получите неделю бесплатного доступа к курсу алгебры по промокоду ALGEBRA2021: 7 класс, 8 класс, 9 класс, 10 класс.
<<Форма демодоступа>>
Шаги
1
Нахождение обратного числа для дроби или целого числа
- 1
Найдите обратное число для дробного числа, перевернув его.
Например, обратным числом дроби 3 / 4 является 4 / 3
.«Обратное число» определяется очень просто. Чтобы вычислить его, просто рассчитайте значение выражения «1 ÷ (исходное число).» Для дробного числа обратным числом является другое дробное число, которое можно вычислить просто «перевернув» дробь (поменяв местами числитель и знаменатель).
 - 2
Запишите обратное число для целого числа в виде дроби.
Например, обратное число для 2 равно 1 ÷ 2 = 1 / 2
.И в этом случае обратное число вычисляется, как 1 ÷ (исходное число). Для целого числа запишите обратное число в виде обычной дроби, не нужно производить вычисления и записывать его в виде десятичной дроби.
 
2
Нахождение обратного числа смешанной дроби
- 1
Что такое «смешанная дробь».
Смешанной дробью называется число, записанное в виде целого числа и простой дроби, например, 2 4 / 5 . Находжение обратного числа для смешанной дроби осуществляется в два этапа, описанных ниже. - 2
Запишите смешанную дробь в виде неправильной дроби.
Вы, конечно, помните, что единица может быть записана в виде (число)/(то же число), а дроби с одинаковым знаменателей (числом под чертой) можно сложить друг с другом. Вот как это можно сделать для дроби 2 4 / 5:- 2 4 / 5
 - = 1 + 1 + 4 / 5
 - = 5 / 5 + 5 / 5 + 4 / 5
 - = (5+5+4) / 5
 - = 14 / 5 .
 
 - 3
Переверните дробь.
Для вышеприведенного примера обратное число будет равно 14 / 5 — 5 / 14
.Когда смешанная дробь записана в виде неправильной дроби, мы можем легко найти обратное число, просто поменяв местами числитель и знаменатель.
 
3
Нахождение обратного числа для десятичной дроби
- 1
Если это возможно, выразите десятичную дробь в виде простой дроби.
Например, обратное число для 0,5 равно 2 / 1 = 2.
Вам нужно знать, что многие десятичные дроби можно легко превратить в простые дроби. Например, 0,5 = 1 / 2 , а 0,25 = 1 / 4 . Когда вы записали число в виде простой дроби, то сможете легко найти обратное число, просто перевернув дробь.
 - 2
Решите задачу с помощью деления.
Например, обратное число для 0,4 рассчитывается как 1 ÷ 0,4.
Если вы не можете записать десятичную дробь в виде простой дроби, рассчитайте обратное число, решив задачу делением: 1 ÷ (десятичная дробь). Для решения вы можете воспользоваться калькулятором или перейти к следующему шагу, если хотите рассчитать значение вручную.
 - 3
Измените выражение, чтобы работать с целыми числами.
Первый шаг в деление десятичной дроби — это перемещение позиционной запятой до тех пор, пока все числа в выражении не станут целыми числами. Поскольку вы перемещаете позиционную запятую на одинаковое количество знаков, как в делимом, так и в делителе, вы получаете правильный ответ. - 4
Например, вы берете выражение 1 ÷ 0,4 и записываете его как 10 ÷ 4.
В этом случае вы переместили запятую на один знак вправо, что равносильно тому, если бы вы умножили каждое число на десять. - 5
Решите задачу, разделив числа столбиком.
С помощью деления столбиком вы сможете рассчитать обратное число. Если вы разделите 10 на 4, у вас должно получиться 2,5, что и будет обратным числом для 0,4. 
- Значение отрицательного обратного числа будет равно обратному числу, умноженному на -1. Например, отрициательное обратное число для 3 / 4 равно — 4 / 3 .
 - Обратное число иногда называют «обратным значением» или «обратной величиной».
 - Число 1 является своим собственным обратным числом, поскольку 1 ÷ 1 = 1.
 - Ноль не имеет обратного числа, поскольку выражение 1 ÷ 0 не имеет решений.
 
Дадим определение и приведем примеры взаимно обратных чисел. Рассмотрим, как находить число, обратное натуральному числу и обратное обыкновенной дроби. Помимо этого, запишем и докажем неравенство, отражающее свойство суммы взаимно обратных чисел.
Yandex.RTB R-A-339285-1
Нахождение обратной матрицы методом исключения неизвестных Гаусса
Первый шаг для нахождения обратной матрицы методом исключения неизвестных Гаусса —
приписать к матрице A единичную матрицу того же порядка, отделив их вертикальной чертой. Мы
получим сдвоенную матрицу .
Умножим обе части этой матрицы на ,
тогда получим
,
но
и .
Алгоритм нахождения обратной матрицы методом исключения неизвестных Гаусса
1. К матрице A приписать единичную матрицу того же порядка.
2. Полученную сдвоенную матрицу преобразовать так, чтобы в левой её части получилась
единичная матрица, тогда в правой части на месте
единичной матрицы автоматически получится обратная матрица. Матрица A в левой части
преобразуется в единичную матрицу путём элементарных преобразований матрицы.
2. Если в процессе преобразования матрицы A в единичную матрицу в какой-либо
строке или в каком-либо столбце окажутся только нули, то определитель матрицы равен
нулю, и, следовательно, матрица A будет вырожденной, и она не имеет обратной матрицы. В этом
случае дальнейшее нахождение обратной матрицы прекращается.
Пример 2. Для матрицы
найти обратную матрицу.
Решение. Составляем сдвоенную матрицу
и будем её преобразовывать, так чтобы в левой части получилась единичная матрица.
Начинаем преобразования.
Умножим первую строку левой и правой матрицы на (-3) и сложим её со второй строкой,
а затем умножим первую строку на (-4) и сложим её с третьей строкой, тогда получим
.
Чтобы по возможности не было дробных чисел при последующих преобразованиях, создадим
предварительно единицу во второй строке в левой части сдвоенной матрицы. Для этого умножим вторую строку
на 2 и вычтем из неё третью строку, тогда получим
.
Сложим первую строку со второй, а затем умножим вторую строку на (-9) и сложим её
с третьей строкой. Тогда получим
.
Разделим третью строку на 8, тогда
.
Умножим третью строку на 2 и сложим её со второй строкой. Получается:
.
Переставим местами вторую и третью строку, тогда окончательно получим:
.
Видим, что в левой части получилась единичная матрица, следовательно, в правой части
получилась обратная матрица .
Таким образом:
.
Можно проверить правильность вычислений, умножим исходную матрицу на найденную обратную матрицу:
.
В результате должна получиться обратная матрица.
Проверить решение можно с помощью онлайн калькулятора
для нахождения обратной матрицы.
Пример 3. Для матрицы
найти обратную матрицу.
Решение. Составляем сдвоенную матрицу
и будем её преобразовывать.
Первую строку умножаем на 3, а вторую на 2, и вычитаем из второй,
а затем первую строку умножаем на 5, а третью на 2 и вычитаем из третьей строки, тогда получим
.
Первую строку умножаем на 2 и складываем её со второй, а затем из третьей строки
вычитаем вторую, тогда получим
.
Видим, что в третьей строке в левой части все элементы получились равными нулю.
Следовательно, матрица вырожденная и обратной матрицы не имеет. Дальнейшее нахождение обратной марицы прекращаем.
Проверить решение можно с помощью онлайн калькулятора
для нахождения обратной матрицы.
Взаимно обратные числа. Определение
Определение. Взаимно обратные числа
Взаимно обратные числа — такие числа, произведение которых дает единицу.
Если a · b = 1 , то можно сказать, что число a обратно числу b , так же как и число b обратно числу a .
Самый простой пример взаимно обратных чисел — две единицы. Действительно, 1 · 1 = 1 , поэтому a = 1 и b = 1 — взаимно обратные числа. Другой пример — числа 3 и 1 3 , — 2 3 и — 3 2 , 6 13 и 13 6 , log 3 17 и log 17 3 . Произведение любой пары указанных выше чисел равно единице. Если это условие не выполняется, как например у чисел 2 и 2 3 , то числа не являются взаимно обратными.
Определение взаимно обратных чисел справедливо для любый чисел — натуральных, целых, действительных и комплексных.
Несократимые и сократимые дроби
Если наибольший общий делитель числителя и знаменателя дроби равен единице, то дробь называется несократимой. Например: .
суть несократимые дроби.
Если же наибольший общий делитель числителя и знаменателя отличен от единицы, то дробь называется сократимой. Например:
суть сократимые дроби.
Если числитель или знаменатель дроби отдельно или одновременно являются многочленами, то для решения вопроса о сократимости или несократимости этой дроби необходимо эти многочлены предварительно разложить на целые неприводимые множители, если это возможно. Например, дробь сократима, так как после разложения числителя и знаменателя на множители она принимает вид
Если числитель и знаменатель дроби разделить на их наибольший общий делитель, то получится . несократимая дробь, тождественно равная данной дроби.
Примеры сокращения дробей:

Сократить дробь — это значит разделить числитель и знаменатель этой дроби на какой-нибудь их общий множитель.
Полученная после этого новая дробь будет тождественно равна первоначальной дроби. Например,
(Здесь дробь сокращена только на общий множитель b.)

(Здесь дробь сокращена только на За.)
Примечание:
Выражение по форме дробное, но по существу целое, так как оно тождественно равно выражению 5аb. Однако между выражениями и 5ab имеется еще и другое различие, а именно выражение при а = 0 смысла не имеет, тогда как выражение 5ab при а = 0 имеет смысл, так как принимает определенное значение нуль.
Общее преобразование рациональных выражений
Сколь бы сложным ни было даyное выражение, если оно рационально, т. е. содержит лишь действия сложения, вычитания, умножения и деления, то его всегда можно преобразовать так, что в результате получится либо целое выражение, либо несократимая дробь, числитель и знаменатель которой суть целые выражения. Например, выражение

тождественно равно выражению
Выражение

тождественно равно выражению
Выражение

тождественно равно выражению
Во втором примере в результате преобразования получилось целое выражение, а в двух остальных — несократимые дроби

В качестве примера на применение общих преобразований рациональных выражений покажем, что из равенства
если а, b, c не равны между собой и отличны от нуля, вытекает равенство
Решение:
Из данного равенства следует:
![]()
или после раскрытия скобок и переноса всех членов в левую часть:
![]()
или последовательно


что и требовалось доказать.
Примеры решения дробных уравнений
Чтобы стать успешным в любом деле, нужно чаще практиковаться. Мы уже знаем, как решаются дробные уравнения — давайте перейдем к решению задачек.
Пример 1. Решить дробное уравнение: 1/x + 2 = 5.
Как решаем:
- Вспомним правило х ≠ 0. Это значит, что область допустимых значений: х — любое число, кроме нуля.
 - Отсчитываем справа налево в числителе дробной части три знака и ставим запятую.
 - Избавимся от знаменателя. Умножим каждый член уравнения на х.
1 + 2x = 5х
 - Решим обычное уравнение.
5x — 2х = 1
3x = 1
х = 1/3
 
Ответ: х = 1/3.
Пример 2. Найти корень уравнения
Как решаем:
- Область допустимых значений: х ≠ −2.
 - Умножим обе части уравнения на выражение, которое сократит оба знаменателя: 2(х+2)
 - Избавимся от знаменателя. Умножим каждый член уравнения на х.
 - Переведем новый множитель в числитель..
 - Сократим левую часть на (х+2), а правую на 2.
4 = х + 2
х = 4 — 2 = 2
 
Ответ: х = 2.
Пример 3. Решить дробное уравнение:
Как решаем:
- Найти общий знаменатель:
3(x-3)(x+3)
 - Умножим обе части уравнения на общий знаменатель. Сократим. Получилось:
3(x+3)(x+3)+3(x-3)(x-3)=10(x-3)(x+3)+3*36
 - Выполним возможные преобразования. Получилось квадратное уравнение:
x2-9=0
 - Решим полученное квадратное уравнение:
x2=9
 - Получили два возможных корня:
x1=−3, x2=3
х = 4 — 2 = 2
 - Если x = −3, то знаменатель равен нулю:
3(x-3)(x+3)=0
Если x = 3 — знаменатель тоже равен нулю.
 - Вывод: числа −3 и 3 не являются корнями уравнения, значит у данного уравнения нет решения.
 
Ответ: нет решения.
Если нужно решить уравнение с дробями быстро — поможет онлайн-калькулятор дробей. Пользуйтесь им, если уже разобрались с темой и щелкаете задачки легко и без помощников:
- Калькулятор раз
 - Два
 - Три
 
Нахождение обратной матрицы методом алгебраических дополнений (союзной матрицы)
Для неособенной квадратной матрицы А обратной является матрица
, (2)
где  —
определитель матрицы А, а 
— матрица, союзная с матрицей А.
Разберём ключевые понятия, которые потребуются для решения задач — союзная матрица, алгебраические дополнения и транспонированная матрица.
Пусть существует квадратная матрица A:
Транспонированная относительно матрицы A матрица A’ получается,
если из строк матрицы A сделать столбцы, а из её столбцов — наоборот, строки, то есть заменить строки
столбцами:
Остановимся на минорах и алгебраических дополнениях.
Пусть есть квадратная матрица третьего порядка:
.
Её определитель:
Вычислим алгебраическое дополнение элемента ,
то есть элемента 2, стоящего на пересечении первой строки и второго столбца.
Для этого нужно сначала найти минор этого элемента. Он получается вычёркиванием из
определителя строки и столбца, на пересечении которых стоит указанный элемент. В результате останется
следующий определитель, который и является минором элемента :
.
Алгебраическое дополнение элемента
получим, если умножим ,
где i — номер строки исходного элемента, а k — номер столбца исходного элемента, на
полученный в предыдущем действии минор этого исходного элемента. Получаем алгебраическое дополнение элемента
:
.
По этой инструкции нужно вычислить алгебраические дополнения всех элементов матрицы
A’, транспонированной относительно матрицы матрица A.
И последнее из значимых для нахождение обратной матрицы понятий. Союзной с квадратной матрицей A называется матрица
того же порядка, элементами  которой являются алгебраические дополнения соответствующих элементов определителя матрицы
,
транспонированной относительно матрицы A. Таким образом, союзная матрица состоит из следующих элементов:
Алгоритм нахождения обратной матрицы методом алгебраических дополнений
1. Найти определитель данной матрицы A. Если определитель равен нулю, нахождение
обратной матрицы прекращается, так как матрица вырожденная и обратная для неё не существует.
2. Найти матрицу, транспонированную относительно A.
3. Вычислить элементы союзной матрицы как алгебраические дополнения марицы, найденной на шаге 2.
4. Применить формулу (2): умножить число, обратное определителю матрицы A,
на союзную матрицу, найденную на шаге 4.
5. Проверить полученный на шаге 4 результат, умножив данную матрицу A на
обратную матрицу. Если произведение этих матриц равно единичной матрицы, значит обратная матрица была
найдена верно. В противном случае начать процесс решения снова.
Пример 1. Для матрицы
найти обратную матрицу.
Решение. Для нахождения обратной матрицы необходимо найти определитель матрицы А .
Находим по правилу треугольников:
Следовательно, матрица А – неособенная (невырожденная, несингулярная) и для неё существует обратная.
Найдём матрицу, союзную с данной матрицей А.
Найдём матрицу
,
транспонированную относительно  матрицы A:
Вычисляем элементы союзной матрицы как алгебраические дополнения матрицы,
транспонированной относительно матрицы A:
Следовательно, матрица
,
союзная с матрицей A, имеет вид
Замечание. Порядок вычисления элементов и транспонирования матрицы может
быть иным. Можно сначала вычислить алгебраические дополнения матрицы A, а затем транспонировать
матрицу алгебраических дополнений. В результате должны получиться те же элементы союзной матрицы.
Применяя формулу (2), находим матрицу, обратную матрице А:
Проверить решение можно с помощью онлайн калькулятора
для нахождения обратной матрицы.
Сокращение алгебраических дробей с многочленами
Чтобы верно сократить алгебраическую дробь с многочленами, придерживайтесь двух главных правил:
- сокращайте многочлен в скобках только с таким же многочленом в скобках;
 - сокращайте многочлен в скобках целиком — нельзя сократить одну его часть, а другую оставить. Не делайте из многочленов одночлены.
 
| Так нельзя | Так можно | 
![]()  | 
Запомните: многочлены в алгебраической дроби находятся в скобках. Между этими скобками вклиниться может только знак умножения. Всем остальным знакам там делать нечего.

Примеры сокращения алгебраических дробей с многочленами:

Последовательно сокращаем: сначала x, затем (x+c), далее сокращаем дробь на 6 (общий множитель).

Сокращаем многочлены a+b (в дроби их 3). Многочлен в числителе стоит в квадрате, поэтому мысленно оставляем его при сокращении.
Использование свойств вычитания при вычитании дробей
Свойство дробей:
- В том случае, когда делитель дроби является нулем, такая дробь не имеет значения.
 - Дробь равна нулю при условии, что числитель обладает нулевым значением, а знаменатель не равен нулю.
 - Дроби ab и cd равны друг другу, если a×d=b×c.
 - В процессе деления или умножения числителя и знаменателя дроби на одно и то же натуральное число получается равная ей дробь.
 
При вычитании справедливо использовать следующие свойства чисел:
при вычитании суммы из числа из него допускается вычесть одно слагаемое, а затем результат уменьшить на значение второго слагаемого:
a — (b + c) = (a — b) — c,
a — (b + c) = (a — с) — b.
скобки в выражении ((a — b) – c) не имеют смыслового значения, допустимо исключить их из выражения:
(a — b) — c = a — b — c.
для вычитания числа из суммы необходимо воспользоваться рациональным способом решения, то есть вычесть его из одного слагаемого, а результат увеличить на значение оставшегося:
(a + b) — c = (a — c) + b, если a > c или а = с,
(a + b) — c = (b — c) + a, если b > c или b = с.
когда из числа, в том числе, отрицательного, вычитают нуль, получается то же самое число:
a — = a.
при вычитании числа из аналогичного числа получается нуль:
a — a = .
Вычитание дробей с одинаковыми знаменателями
Таким образом, чтобы из одной дроби вычесть дробь с аналогичным знаменателем, необходимо вычитать числители, а одинаковые знаменатели оставить прежними. Используя буквы, можно представить наглядную запись этого правила:
ac-bc=a-bc
Вычитание смешанных дробей с одинаковыми знаменателями
Используя буквы, данное правило вычитания смешанных дробей можно записать с помощью формулы:
amc-bnc=(a-b)+m-nc
При m<n имеем:
amc-bnc=(a-1)m+cc-bnc=(a-1-b)+m+c-nc
Вычитание дробей с разными знаменателями
Применение озвученного правила на практике можно рассмотреть на примере дробей, разность которых требуется определить:
29
115
В процессе решения задачи можно использовать следующий алгоритм:
- В связи с тем, что знаменатели не одинаковые, нужно определить самое маленькое общее кратное (НОК), чтобы найти единый делитель. Следует записать в колонку числа, составляющие в сумме значения делителей. Затем необходимо перемножить полученные значения и вычислить НОК.
 
НОК(9,15)=3×3×5=45
- На следующем этапе следует определить дополнительные множители. При этом НОК нужно поделить на каждый из знаменателей.
 
459=5
4515=3
- Числа, которые были получены в результате действий, требуется умножить на соответствующие дроби:
 
29=2×59×5=1045
115=1×315×3=345
- В завершении алгоритма можно выполнить вычитание заданных чисел:
 
1045-345=10-345=745
29-115=745
Наши курсы по подготовке к ЕГЭ по математике, информатике и физике
К ЕГЭ можно подготовиться . У нас на сайте полно качественных материалов. Но вы должны знать что вы делаете.
- У вас должен быть план, чтобы вы шли от простого к сложному и не «захлебнулись».
 - Вас должен кто-то проверять и указывать короткий путь, чтобы вы не теряли время.
 - Вас должен кто-то мотивировать, чтобы вы не бросили все.
 
Если у вас с этим сложности, приходите к нам.
- Начните с нашего гида о том как подготовиться к ЕГЭ по математике.
 - Посетите наши бесплатные вебинары по математике, информатике и физике.
 
И если вам нужен действительно высокий балл, приходите на наши курсы:
- Подготовка к ЕГЭ по математике
 - Подготовка к ЕГЭ по информатике
 - Подготовка к ЕГЭ по физике
 
Мы качественно готовим к ЕГЭ даже тех, у кого «нет способностей».
Наименьшее общее кратное
Из арифметики известно, что наименьшим общим кратным произведений
является произведение
По аналогии с этим наименьшим общим кратным произведений
будет выражение
Наименьшим общим кратным произведений
![]()
будет
Наименьшим общим кратным произведений
будет
Чтобы составить наименьшее общее кратное нескольких многочленов, следует сначала эти многочлены разложить на неприводимые множители.
Примеры:
1. Найти наименьшее общее кратное многочленов
Очевидно, что
Искомым наименьшим кратным будет
2. Найти наименьшее общее кратное многочленов
![]()
Очевидно, что

Искомым наименьшим кратным будет
![]()
Понятие дроби
Дробь — одна из форм представления числа в математике. Это запись, в которой a и b являются числами или выражениями. Есть два формата записи:
- обыкновенный вид — 1/2 или a/b,
 - десятичный вид — 0,5.
 
Над чертой принято писать делимое, которое является числителем. А под чертой всегда находится делитель, который называют знаменателем. Черта между числителем и знаменателем означает деление.
Дроби бывают двух видов:
- Числовые — состоят из чисел, например, 5/9 или (1,5 — 0,2)/15.
 - Алгебраические — состоят из переменных, например, (x + y)/(x — y). В этом случае значение дроби зависит от данных значений букв.
 
Дробь называют правильной, когда ее числитель меньше знаменателя. Например 3/7 и 31/45.
Неправильной — ту, у которой числитель больше знаменателя или равен ему. Например, 21/4. Такое число является смешанным и читается, как пять целых одна четвертая, а записывается — 5 1\4.
Основные свойства дробей1. Дробь не имеет значения, при условии, если делитель равен нулю. 2. Дробь равняется нулю в том случае, если числитель равен нулю, а знаменатель отличен от нуля. 3. Равными называют a/b и c/d в том случае, если a * d = b * c. 4. Если числитель и знаменатель умножить или разделить на одно и то же натуральное число, то получится равная ей дробь.  | 
Правило вычитания дробей
Вычитание — арифметическое действие, когда от одного числа отнимают другое.
Свойства вычитания:
- Чтобы вычесть сумму из числа, можно из него вычесть одно слагаемое, а после из результата вычесть другое слагаемое:
a — (b + c) = (a — b) — c,
a — (b + c) = (a — с) — b. 
- Скобки в выражении (a — b) — c не имеют значения и их можно опустить:
(a — b) — c = a — b — c. 
- Чтобы вычесть число из суммы, можно вычесть его из одного слагаемого, а к результату прибавить оставшееся:
(a + b) — c = (a — c) + b, если a > c или а = с,
(a + b) — c = (b — c) + a, если b > c или b = с. 
- Если из числа вычесть нуль, получится оно же:
a — 0 = a. 
- Если из числа вычесть его само, получится нуль:
a — a = 0. 
| 
 Записывайтесь на наши дополнительные занятия по математике, для учеников с 1 по 11 классы!  | 
Вычитание дробей с одинаковыми знаменателями
Для вычитания дробей с одинаковыми знаменателями нужно от числителя первой отнять числитель второй, а знаменатель оставить тот же.
Прежде, чем зафиксировать ответ, важно проверить возможность сокращения. Рассмотрим это правило на примере:
Рассмотрим это правило на примере:
Вычитание дробей с разными знаменателями
Как вычитать дроби с разными знаменателями? Для этого приводим их к общему знаменателю и гаходим разность числителей.
Рассмотрим пример, в котором нужно найти разность 2/9 и 1/15.
Как решаем:
Знаменатели разные, значит найдем наименьшее общее кратное (далее — НОК) для определения единого делителя. Для этого записываем в столбик числа, которые в сумме дают значения делителей. Далее перемножаем полученное и получаем НОК.
НОК (9, 15) = 3 * 3 * 5 = 45
Найдем дополнительные множители. Для этого НОК делим на каждый знаменатель:
45 : 9 = 5,
45 : 15 = 3.
Полученные числа умножим на соответствующие дроби:
и
Перейдем к вычитанию заданных чисел:
Ответ: 

Вычитание обыкновенной дроби из натурального числа
Для вычитания из обыкновенной дроби натурального числа необходимо это действие привести к вычитанию обыкновенных дробей.
Разберем для наглядности пример разности 3 и 6/7.
Как решаем:
Представим натуральное число в виде смешанного — займем единицу и переведем ее в неправильную дробь с тем же знаменателем, что у вычитаемой:
3 = 2 * 7/7.
Произведем разность:
Ответ: две целых одна седьмая.
Вычитание натурального числа из обыкновенной дроби
Для вычитания натурального числа из обыкновенной дроби нужно последовать тому же алгоритму, что и в предыдущем примере. А именно: перевести натуральное число в вид дроби, привести все к единому знаменателю, найти разность.
Рассмотрим пример разности 3 из 83/21.
Как решаем:
3 = 3/1.

А еще можно вот так:
Представим 83/21 в виде смешанной дроби, для этого разделим делитель на делимое:
83/21 = 3 * 20/21.
Произведем вычитание:
3 * 20/21 — 3 = 20/21

Если урок в самом разгаре и посчитать нужно быстро — можно воспользоваться онлайн-калькулятором. Вот несколько подходящих:
- Раз
 - Два
 - Три
 
Какие бывают виды уравнений
Уравнения могут быть разными, самые часто встречающиеся — линейные и квадратные.
Особенность преобразований алгебраических уравнений в том, что в левой части должен остаться многочлен от неизвестных, а в правой — нуль.
| Линейное уравнение выглядит так | ах + b = 0, где a и b — действительные числа.
 Что поможет в решении: 
  | 
|---|---|
| Квадратное уравнение выглядит так: | ax2 + bx + c = 0, где коэффициенты a, b и c — произвольные числа, a ≠ 0. | 
Система уравнений — это несколько уравнений, для которых нужно найти значения неизвестных. Она имеет вид ax + by + c = 0 и называется линейным уравнением с двумя переменными x и y, где a, b, c — числа.
Решением этого уравнения называют любую пару чисел (x; y), которая соответствует этому выражению и является верным числовым равенством.
Числовой коэффициент — число, которое стоит при неизвестной переменной.
Кроме линейных и квадратных есть и другие виды уравнений, с которыми мы познакомимся в следующий раз:
- кубические
 - уравнение четвёртой степени
 - иррациональные и рациональные
 - системы линейных алгебраических уравнений
 
Как решить систему уравнений
Существуют два основных способа решения систем уравнений. Рассмотрим оба способа решения.
Способ подстановки или «железобетонный» метод
Первый способ решения системы уравнений называют способом подстановки или «железобетонным».
Название «железобетонный» метод получил из-за того, что с помощью этого метода практически всегда можно
решить систему уравнений. Другими словами, если у вас не получается решить систему уравнений,
 всегда пробуйте решить её методом подстановки.
Разберем способ подстановки на примере.
Выразим из первого уравнения «»
    неизвестное «».
Важно!
Чтобы выразить неизвестное, нужно выполнить два условия:
- перенести неизвестное, которое хотим выразить, в левую часть уравнения;
 - разделить и левую и правую часть уравнения на нужное число так,
чтобы коэффициент при неизвестном стал равным единице. 
Перенесём в первом уравнении  «» всё что
    содержит «» в левую часть,
    а остальное в правую часть по
    .
При «» стоит  равный единице, поэтому дополнительно делить уравнение
на число не требуется.
Теперь, вместо «»  подставим  во второе уравнение полученное выражение
    «»   из первого уравнения.
Подставив вместо «» выражение «»
    во второе уравнение,
    мы получили обычное линейное уравнение  с одним неизвестным «».
    Решим его по правилам
        решения линейных уравнений.
Чтобы каждый раз не писать всю систему уравнений заново, решим полученное уравнение
    «» отдельно.
    Вынесем его решение отдельно с помощью
обозначения звездочка .
Мы нашли, что  «».
    Вернемся к первому уравнению «» и вместо «»  подставим в него полученное числовое значение.
    Таким образом можно найти «».
Запишем в ответ оба полученных значения.
Способ сложения
Рассмотрим другой способ решения системы уравнений. Метод называется способ сложения.
    Вернемся к нашей системе уравнений еще раз.
По правилам математики уравнения системы можно складывать. Наша задача в том, чтобы сложив исходные
уравнения, получить такое уравнение, в котором останется только одно неизвестное.
Давайте сейчас сложим уравнения системы и посмотрим, что из этого выйдет.
Запомните!
При сложения уравнений системы
        левая часть первого уравнения полностью складывается
        с  левой частью второго уравнения,
        а правая часть полностью складывается с
        правой частью.
При сложении уравнений мы получили уравнение «».
    По сути, сложение уравнений в исходном виде нам ничего
не дало, так как в полученном уравнении мы по прежнему имеем оба неизвестных.
Вернемся снова к исходной системе уравнений.
Чтобы при сложении неизвестное «» взаимноуничтожилось,
    нужно сделать так, чтобы в первом уравнении при «» стоял коэффициент
    «».
Для этого умножим первое уравнение на «».
Важно!
При умножении уравнения на число, на это число умножается каждый член уравнения.
Теперь сложим уравнения.
Мы нашли  «».
    Вернемся к первому уравнению и подставим вместо «» полученное числовое
    значение и найдем «».
Пример решения системы уравнения
Выразим из первого уравнения «».
Подставим вместо «» во второе уравнение полученное выражение.
  Подставим в первое уравнение полученное числовое значение  «»  и
    найдем «».
Пример решения системы уравнения
Рассмотрим систему уравнений.
Раскроем скобки и упростим выражения в обоих уравнениях.
Мы видим, что в обоих уравнениях есть «».
        Наша задача, чтобы при сложении уравнений «» взаимноуничтожились и в
полученном уравнении осталось только «».
Для этого достаточно умножить первое уравнение на «».
Теперь при сложении уравнений у нас останется только «» в уравнении.
Подставим в первое уравнение полученное числовое значение «» и
    найдем «».



















































